Hopkins Cole Test : Biuret Hopkins Cole / Click ok when u done:

Hopkins Cole Test : Biuret Hopkins Cole / Click ok when u done:. A reagent that is used contains glyoxylic acid. Positive reaction will show purple color (ring) in the solution boundaries. The reagent contain glioksilic acid. A new colour test for glyoxylic acid. Very slowly and carefully pour this down the side of an inclined test tube containing 2 ml of.

Tilt the test tube and run down = purple junction. This test is specific test for detecting tryptophan. Purple color at the interface in positive hopkin's cole test as shown in the figure below. The indole group of tryptophan reacts with glyoxylic acid (glacial acetic acid, which has been exposed to light, always contains glyoxylic acid chocooh as an impurity). Objective, principle, reagents, procedure and result.

Adamkiewicz Reaction Hopkin S Cole Test Objective Principle Reagents Procedure And Result Online Biology Notes
Adamkiewicz Reaction Hopkin S Cole Test Objective Principle Reagents Procedure And Result Online Biology Notes from www.onlinebiologynotes.com
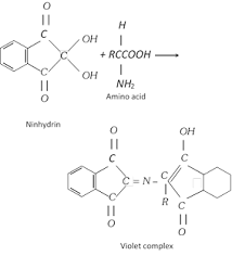
Tryptophan + glyoxylic acid + sulfuric acid > violet product. A reagent that is used contains glyoxylic acid. Since tryptophan was not destroyed. Hopkin's cole test is a specific test used for the detection of indole ring and thus, tryptophan in proteins. The test is also termed as 'glyoxylic acid test' as the reagent contains glyoxylic acid. A protein solution is mixed with hopkins cole reagent, which consists of glyoxylic acid. This test used for detecting the presence of tryptophan in proteins. This test used for detecting the presence of tryptophan in proteins.

The reagent contain glioksilic acid.

Intact casein and base hydrolyzate are positive; When tryptophan is present in a solution, it gives a reddish violet ring. Indole in tryptophan) via electrophilic aromatic substitution. A protein solution is mixed with hopkins cole reagent, which consists of glyoxylic acid. The indole moiety of tryptophan reacts with glyoxilic acid in the presence of concentrated sulphuric acid to give a purple colored product. Nitration of aromatic rings (i.e. This test used for detecting the presence of tryptophan in proteins. Tryptophan has an indole nucleus which is responsible for the violet ring found at the junction between the two layers. Concentrated sulfuric acid is slowly added to form two layers. Tilt the test tube and run down = purple junction. Tryptophan + glyoxylic acid + sulfuric acid > violet product. Objective, principle, reagents, procedure and result. Purple color at the interface in positive hopkin's cole test as shown in the figure below.

The indole group of tryptophan reacts with glyoxylic acid (glacial acetic acid, which has been exposed to light, always contains glyoxylic acid chocooh as an impurity). The indole group of tryptophan reacts with. Asked oct 21, 2019 in biology by kumarisurbhi (97.0k points). The indole moiety of tryptophan reacts with glyoxilic acid in the presence of concentrated sulphuric acid to give a purple colored product. Tilt the test tube and run down = purple junction.

Glyoxylic Acid Wikipedia
Glyoxylic Acid Wikipedia from upload.wikimedia.org
Objective, principle, reagents, procedure and result. Tryptophan + glyoxylic acid + sulfuric acid > violet product. Hopkins cole test also referred to as glyoxylic acid reaction is one of the qualitative test methods to determine differences in types of proteins and amino acids. Tryptophan has an indole nucleus which is responsible for the violet ring found at the junction between the two layers. The condensation between two main rings of tryptophan by glyoxylic. Hopkin's cole test is a specific test used for the detection of indole ring and thus, tryptophan in proteins. Asked oct 21, 2019 in biology by kumarisurbhi (97.0k points). Tilt the test tube and run down = purple junction.

The indole group of tryptophan reacts with glyoxylic acid (glacial acetic acid, which has been exposed to light, always contains glyoxylic acid chocooh as an impurity).

The reagent contain glioksilic acid. Purple color at the interface. Tryptophan + glyoxylic acid + sulfuric acid > violet product. Hopkin's cole test is a specific test used for the detection of indole ring and thus, tryptophan in proteins. The indole ring reacts with glyoxylic acid in the presence of a strong acid to form a violet cyclic product. Since tryptophan was not destroyed. The test is also termed as 'glyoxylic acid test' as the reagent contains glyoxylic acid. Very slowly and carefully pour this down the side of an inclined test tube containing 2 ml of. Intact casein and base hydrolyzate are positive; A reagent that is used contains glyoxylic acid. A protein solution is mixed with hopkins cole reagent, which consists of glyoxylic acid. Positive reaction will show purple color (ring) in the solution boundaries. Asked oct 21, 2019 in biology by kumarisurbhi (97.0k points).

Concentrated sulfuric acid is slowly added to form two layers. Purple color at the interface. Hopkin's cole test is a specific test used for the detection of indole ring and thus, tryptophan in proteins. The test is also termed as 'glyoxylic acid test' as the reagent contains glyoxylic acid. Hopkins cole test is a specific test used for the detection of tryptophan.

Millon S Test Principle Reaction Reagents Procedure And Result Interpretation Online Biochemistry Notes
Millon S Test Principle Reaction Reagents Procedure And Result Interpretation Online Biochemistry Notes from biocheminfo.com
Nitration of aromatic rings (i.e. This test used for detecting the presence of interpretation: The indole ring reacts with glyoxylic acid in the presence of a strong acid to form a violet cyclic product. The indole moiety of tryptophan reacts with glyoxilic acid in the presence of concentrated sulphuric acid to give a purple colored product. Tilt the test tube and run down = purple junction. Since tryptophan was not destroyed. A new colour test for glyoxylic acid. A reagent that is used contains glyoxylic acid.

Asked oct 21, 2019 in biology by kumarisurbhi (97.0k points).

This test used for detecting the presence of tryptophan in proteins. The condensation between two main rings of tryptophan by glyoxylic. When tryptophan is present in a solution, it gives a reddish violet ring. Tryptophan is an amino acid. The indole ring reacts with glyoxylic acid in the presence of a strong acid to form a violet cyclic product. Concentrated sulfuric acid is slowly added to form two layers. Purple color at the interface. Intact casein and base hydrolyzate are positive; The indole group of tryptophan reacts with. This test is specific test for detecting tryptophan. The indole moiety of tryptophan reacts with glyoxilic acid in the presence of concentrated sulphuric acid to give a purple colored product. The test is also termed as 'glyoxylic acid test' as the reagent contains glyoxylic acid. ( tryptophan and egg albumin).

Concentrated sulfuric acid is slowly added to form two layers hopkins. The test is also termed as 'glyoxylic acid test' as the reagent contains glyoxylic acid.

Posting Komentar

0 Komentar